一种紧凑设计光程可达3.5m的可支持THz波段的气体吸收池
瑞士IRsweep公司的IRcell提供了一个多次反射的超微型气体吸收池,整个反射池由只有一个精密加工的高精度圆形反射镜构成(拥有专利),使整个反射池对温度变化所造成的光路影响降低至微乎其微,另外,这种结构使反射池能够几乎不受高频率高幅度振动的影响。
而镜片本身经过特殊的镀膜处理,使池子可以耐受高达230度的高温。瑞士IRsweep公司提供的IRcell可支持THz波段光谱。
比尔朗伯科技是瑞士IRsweep在中国区的独家代理,可提供专业的售前技术咨询和售后技术服务。
产品优势:
体积小至38ml,超微型体积下有效光程可达3.5m;
支持波长范围可从IR和mid-IR覆盖到THz;
整个反射池由只有一个精密加工的高精度圆形反射镜构成(拥有专利);
光路稳定性高,几乎不受温度变化和振动影响;
镜片经过特殊的镀膜处理,使池子可以耐受高达230度的高温;
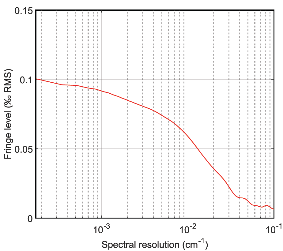
光学噪声Fringe level< 0.2‰ RMS,标准值接近0.1‰ RMS;
详细介绍:
瑞士IRsweep公司成立于2014年,脱离苏黎世联邦理工学院,由三个能力互补的核心成员建立,坐落于苏黎世,Dr. Andreas Hugi开发了的IRsweep的核心激光技术,IRsweep的全球领先地位也正是由于他的坚持和远见。Dr. Markus Mangold建立了顶尖的传感系统,Dr. Markus Geiser不仅拥有相当厉害的技术整合能力,并且拥有丰富的金融经验。
IRsweep公司推出的IRcell可支持THz波段光谱,光学噪声Fringe level< 0.2‰ RMS,标准值接近0.1‰ RMS,在所需要的光谱分辨率不高的时候,Fringe level进一步大大降低。

瑞士IRsweep公司的IRcell提供了一个多次反射的超微型气体吸收池,整个反射池由只有一个精密加工的高精度圆形反射镜构成(拥有专利,见下图,专利部分由黑色标示),使整个反射池对温度变化所造成的光路影响降低至微乎其微,另外,这种结构使反射池能够几乎不受高频率高幅度振动的影响。

图二、IRcell紧凑结构 图三、IRcell光路测试平台
IRsweep公司对池子的镜片进行了特殊的镀膜处理,使IRcell可以耐受高达230度的高温,并且可支持THz波段光谱。

图三、IRcell光路实测图 图四、IRcell光路示意图
技术参数:

